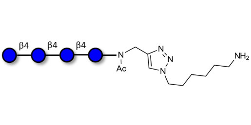
Cellotetraose with free terminal amine (Linker-NH2 D)

Product code: GLU302-NH2-D

Glycan structure: Glcβ1-4[Glcβ1-4]2Glc-NAc-CH2-(1.4-Tz)-(CH2)6-NH2

This product is also available on request with a cleavable linker. For more information, send us a message HERE

Chemical formula: C35 H61 N5 O21

Molecular weight: 887,89

Laboratory reagent for research and development only. Not for human or animal use.

specs_GLU302_NH2_D.pdf (specs_GLU302_NH2_D.pdf) Download (103.21KB)

MSDS_GLU302_NH2_D.pdf (MSDS_GLU302_NH2_D.pdf) Download (284.24KB)

Request a COA

Request a COA