Man8D2D3 (>90% HPLC)

Product code: NGL002-90%

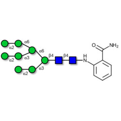
Glycan structure: Manα1-2Manα1-3[Manα1-2Manα1-6(Manα1-2Manα1-3)Manα1-6]Manβ1-4GlcNacβ1-4GlcNac

Our N-glycans are produced by chemical synthesis, ensuring high purity and precise structural characterization. They are available with a wide range of functionalizations (Biotin, Fluorescein, ...) and can be supplied in large quantities on request. For more information, send us a message HERE

Chemical formula: C64 H108 N2 O51

Molecular weight: 1721,52

CAS N°: 77036-51-2

Synonyms:M8D2D3 ; M8 ; Oligomannose 8 glycan ; Man-8 N-linked oligosaccharide ; Man8(GlcNAc)2

Laboratory reagent for research and development only. Not for human or animal use.

specs_NGL_002_90.jpg.pdf (specs_NGL_002_90.jpg.pdf) Download (103.11KB)

MSDS_NGL_002_90.jpg.pdf (MSDS_NGL_002_90.jpg.pdf) Download (285KB)

Request a COA

Request a COA