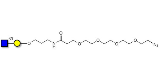
GlcNAcβ1-3Gal with terminal azide (Linker-N3 A)

Product code: GLY155-N3-A

Glycan structure: GlcNAcβ1-3Gal-O-(CH2)3-NHCO-(CH2)2-EG4-N3

This product is also available on request with a cleavable linker. For more information, send us a message HERE

Chemical formula: C28 H51 N5 O16

Molecular weight: 713,73

Laboratory reagent for research and development only. Not for human or animal use.

specs_GLY155_N3_A.pdf (specs_GLY155_N3_A.pdf) Download (103.87KB)

MSDS_GLY155_N3_A.pdf (MSDS_GLY155_N3_A.pdf) Download (287.92KB)

Request a COA

Request a COA