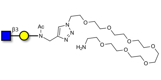
GlcNAcβ1-3Gal with free terminal amine (Linker-NH2 C)

Product code: GLY155-NH2-C

Glycan structure: GlcNAcβ1-3Gal-NAc-CH2-(1.4-Tz)-(CH2)2-EG7-NH2

This product is also available on request with a cleavable linker. For more information, send us a message HERE

Chemical formula: C35 H64 N6 O18

Molecular weight: 856,92

Laboratory reagent for research and development only. Not for human or animal use.

specs_GLY155_NH2_C.pdf (specs_GLY155_NH2_C.pdf) Download (103.39KB)

MSDS_GLY155_NH2_C.pdf (MSDS_GLY155_NH2_C.pdf) Download (288.01KB)

Request a COA

Request a COA