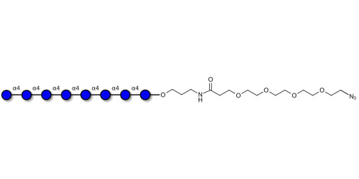
Maltooctaose DP8 with terminal azide (Linker-N3 A)

Product code: GLU318-N3-A

Glycan structure: Glcα1-4[Glcα1-4]6Glc-O-(CH2)3-NHCO-(CH2)2-EG4-N3

This product is also available on request with a cleavable linker. For more information, send us a message HERE

Chemical formula: C62 H108 N4 O46

Molecular weight: 1645,52

Laboratory reagent for research and development only. Not for human or animal use.

specs_GLU318_N3_A.pdf (specs_GLU318_N3_A.pdf) Download (104.12KB)

MSDS_GLU318_N3_A.pdf (MSDS_GLU318_N3_A.pdf) Download (284.26KB)

Request a COA

Request a COA