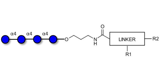
Maltotetraose DP4 with customizable dual functionalization

Product code: GLU314-R1-R2

Glycan structure: Glcα1-4[Glcα1-4]2Glc-O-(CH2)3-NH-R1-R2

This product includes two positions (R1 and R2, as shown in the figure), which will be functionalized by our team according to your needs: Biotin, Fluorescein, Lipidic chain, or other reactive groups such as Amine, Azide, Alkyne, Maleimide... 
This product is also available on request with a cleavable linker. For more information, send us a message HERE

Laboratory reagent for research and development only. Not for human or animal use.

specs_GLU314_R1_R2.pdf (specs_GLU314_R1_R2.pdf) Download (102.92KB)

MSDS_GLU314_R1_R2.pdf (MSDS_GLU314_R1_R2.pdf) Download (284.29KB)

Request a COA

Request a COA