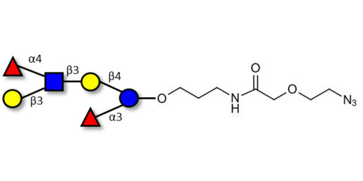
Lewis a (Lea) hexaose / Lacto-N-difucohexaose II (LNDFH II) with terminal azide (Linker-N3 B)

Product code: GLY055-N3-B

Glycan structure: Galβ1-3(Fucα1-4)GlcNAcβ1-3Galβ1-4(Fucα1-3)Glc-O-(CH2)3-NHCO-CH2-O-(CH2)2-N3

This product is also available on request with a cleavable linker. For more information, send us a message HERE

Chemical formula: C45 H77 N5 O31

Molecular weight: 1184,11

Laboratory reagent for research and development only. Not for human or animal use.

specs_GLY055_N3_B.pdf (specs_GLY055_N3_B.pdf) Download (104.26KB)

MSDS_GLY055_N3_B.pdf (MSDS_GLY055_N3_B.pdf) Download (284.92KB)

Request a COA

Request a COA