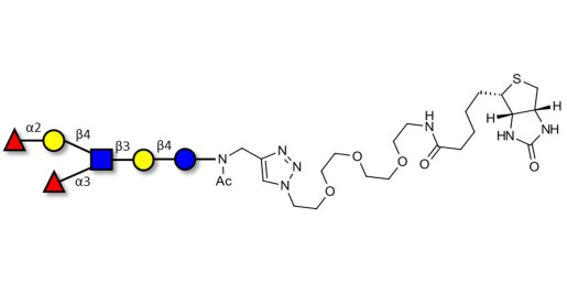
Lewis y (Ley) hexaose / Lacto-N-neoDiFucohexaose I (LNnDFH-I) linked to biotin (Linker-BT A)

Product code: GLY254-BT-A

Glycan structure: Fuc-a1,2-Gal-b1,4-(Fuc-a1,3-)GlcNAc-b1,3-Gal-b1,4-Glc-NAc-CH2-(1.4-Tz)-(CH2)2-EG3-NH-Biotin

This product is also available on request with a cleavable linker. For more information, send us a message HERE

Chemical formula: C61 H102 N8 O34 S1

Molecular weight: 1523,57

Laboratory reagent for research and development only. Not for human or animal use.

specs_GLY254_BT_A.pdf (specs_GLY254_BT_A.pdf) Download (102.42KB)

MSDS_GLY254_BT_A.pdf (MSDS_GLY254_BT_A.pdf) Download (284.96KB)

Request a COA

Request a COA