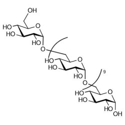
Chemical formula: C66 H112 O56

Molecular weight: 1801,56

Laboratory reagent for research and development only. Not for human or animal use.

specs_GLU361_90.pdf (specs_GLU361_90.pdf) Download (103.9KB)

MSDS_GLU361_90.pdf (MSDS_GLU361_90.pdf) Download (284.76KB)

Request a COA

Request a COA