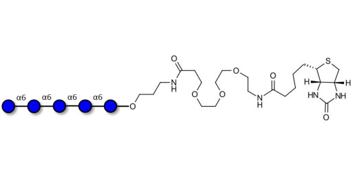
Isomaltopentaose DP5 linked to biotin (Linker-BT C)

Product code: GLU355-BT-C

Glycan structure: Glcα1-6[Glcα1-6]3Glc-O-(CH2)3-NHCO-(CH2)2-EG3-NH-Biotin

This product is also available on request with a cleavable linker. For more information, send us a message HERE

Chemical formula: C52 H90 N4 O32 S1

Molecular weight: 1315,35

Laboratory reagent for research and development only. Not for human or animal use.

specs_GLU355_BT_C.pdf (specs_GLU355_BT_C.pdf) Download (102.57KB)

MSDS_GLU355_BT_C.pdf (MSDS_GLU355_BT_C.pdf) Download (283.62KB)

Request a COA

Request a COA