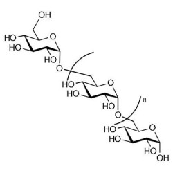
Isomaltodecaose DP10 grafted on polyacrylamide (PAA)

Product code: GLU360-PAA-A

Glycan structure: Glcα1-6[Glcα1-6]8Glc-PAA

Polyacrylamide (PAA), a water-soluble polymer, can be immobilized on ELISA plates or other solid supports, enabling a wide range of analytical and biomolecular interaction studies. ELICITYL offers a range of glycans grafted onto various types of polyacrylamide (PAA) : PAA, PAA with Biotin, PAA with Fluorescein, PAA with Biotin and Fluorescein, PAA with Stearic chain, PAA with Fluorescein and Stearic chain. For more information or to request a quotation, send us a message HERE

Laboratory reagent for research and development only. Not for human or animal use.

specs_GLU360_PAA_A.pdf (specs_GLU360_PAA_A.pdf) Download (102.52KB)

MSDS_GLU360_PAA_A.pdf (MSDS_GLU360_PAA_A.pdf) Download (283.64KB)

Request a COA

Request a COA