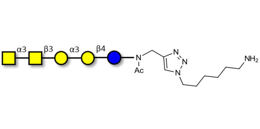
Isoforssman antigen pentaose with free terminal amine (Linker-NH2 D)

Product code: GLY134-NH2-D

Glycan structure: GalNAcα1-3GalNAcβ1-3Galα1-3Galβ1-4Glc-NAc-CH2-(1.4-Tz)-(CH2)6-NH2

This product is also available on request with a cleavable linker. For more information, send us a message HERE

Chemical formula: C45 H77 N7 O26

Molecular weight: 1132,13

Laboratory reagent for research and development only. Not for human or animal use.

specs_GLY134_NH2_D.pdf (specs_GLY134_NH2_D.pdf) Download (102.57KB)

MSDS_GLY134_NH2_D.pdf (MSDS_GLY134_NH2_D.pdf) Download (284.65KB)

Request a COA

Request a COA