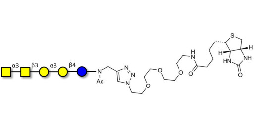
Isoforssman antigen pentaose linked to biotin (Linker-BT A)

Product code: GLY134-BT-A

Glycan structure: GalNAcα1-3GalNAcβ1-3Galα1-3Galβ1-4Glc-NAc-CH2-(1.4-Tz)-(CH2)2-EG3-NH-Biotin

This product is also available on request with a cleavable linker. For more information, send us a message HERE

Chemical formula: C57 H95 N9 O31 S1

Molecular weight: 1434,48

Laboratory reagent for research and development only. Not for human or animal use.

specs_GLY134_BT_A.pdf (specs_GLY134_BT_A.pdf) Download (101.94KB)

MSDS_GLY134_BT_A.pdf (MSDS_GLY134_BT_A.pdf) Download (283.96KB)

Request a COA

Request a COA