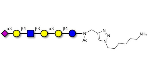
Sialylated isoglobopentaose (Sialylated iGb5) analogue type 2 with free terminal amine (Linker-NH2 D)

Product code: GLY202-2-NH2-D

Glycan structure: Neu5Acα2-3Galβ1-4GlcNAcβ1-3Galα1-3Galβ1-4Glc-NAc-CH2-(1.4-Tz)-(CH2)6-NH2

This product is also available on request with a cleavable linker. For more information, send us a message HERE

Chemical formula: C54 H90 N7 O34 Na1

Molecular weight: 1404,32

Synonyms:Sialylated iGb5 analogue type 2

Laboratory reagent for research and development only. Not for human or animal use.

specs_GLY202_2_NH2_D.pdf (specs_GLY202_2_NH2_D.pdf) Download (102.38KB)

MSDS_GLY202_2_NH2_D.pdf (MSDS_GLY202_2_NH2_D.pdf) Download (284.91KB)

Request a COA

Request a COA