Sialylated isoglobopentaose (Sialylated iGb5) analogue type 1 with free terminal amine (Linker-NH2 C)

Product code: GLY202-1-NH2-C

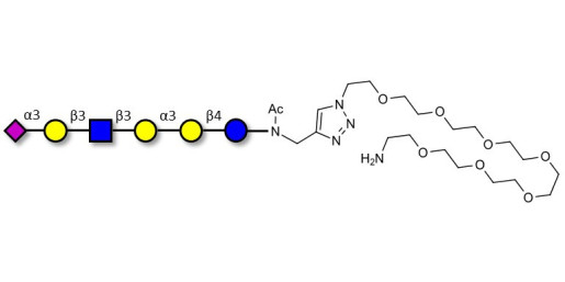
Glycan structure: Neu5Acα2-3Galβ1-3GlcNAcβ1-3Galα1-3Galβ1-4Glc-NAc-CH2-(1.4-Tz)-(CH2)2-EG7-NH2

This product is also available on request with a cleavable linker. For more information, send us a message HERE

Chemical formula: C64 H110 N7 O41 Na1

Molecular weight: 1656,58

Synonyms:Sialylated iGb5 analogue type 1

Laboratory reagent for research and development only. Not for human or animal use.

specs_GLY202_1_NH2_C.pdf (specs_GLY202_1_NH2_C.pdf) Download (102.69KB)

MSDS_GLY202_1_NH2_C.pdf (MSDS_GLY202_1_NH2_C.pdf) Download (284.93KB)

Request a COA

Request a COA