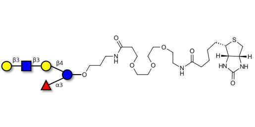
Lacto-N-fucopentaose V (LNFP V) linked to biotin (Linker-BT C)

Product code: GLY062-BT-C

Glycan structure: Galβ1-3GlcNAcβ1-3Galβ1-4(Fucα1-3)Glc-O-(CH2)3-NHCO-(CH2)2-EG3-NH-Biotin

This product is also available on request with a cleavable linker. For more information, send us a message HERE

Chemical formula: C54 H93 N5 O31 S1

Molecular weight: 1340,4

Laboratory reagent for research and development only. Not for human or animal use.

specs_GLY062_BT_C.pdf (specs_GLY062_BT_C.pdf) Download (102.67KB)

MSDS_GLY062_BT_C.pdf (MSDS_GLY062_BT_C.pdf) Download (284.33KB)

Request a COA

Request a COA