3'-Galactosyllactose (3'GL) Analytical Reference

Product code: REF003

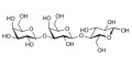
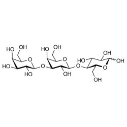
Glycan structure: Galβ1-3Galβ1-4Glc

Elicityl Analytical References are highly purified products that are extensively tested to guarantee the most accurate analytical data. Four complementary analyses are performed to provide you with high quality references: Quantitative 1H-NMR done three times using internal standards, Mass Spectrometry (MALDI-TOF), High performance liquid chromatography (HPLC-ELSD) and measurement by Karl-Fischer titration of residual moisture content after freeze-drying just before shipment. All the corresponding analytical data is provided in the Certificate of Analysis including detection and identification of potential impurities.

Chemical formula: C18 H32 O16

Molecular weight: 504,44

CAS N°: 32694-82-9

Laboratory reagent for research and development only. Not for human or animal use.

MSDS_REF003.pdf (MSDS_REF003.pdf) Download (283.81KB)

Request a COA

Request a COA