Lacto-N-neoDifucohexaose analogue linked to desthiobiotin (Linker-DBT-A)

Product code: GLY253-DBT-A

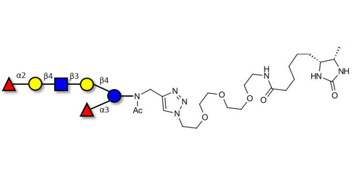
Glycan structure: Fuc-a1,2-Gal-b1,4-GlcNAc-b1,3-Gal-b1,4-(Fuc-a1,3-)Glc-NAc-CH2-(1.4-Tz)-(CH2)2-EG3-NH-Desthiobiotin

This product is also available on request with a cleavable linker. For more information, send us a message HERE

Chemical formula: C61 H104 N8 O34

Molecular weight: 1493,51

Laboratory reagent for research and development only. Not for human or animal use.

specs_GLY253_DBT_A.pdf (specs_GLY253_DBT_A.pdf) Download (102.31KB)

MSDS_GLY253_DBT_A.pdf (MSDS_GLY253_DBT_A.pdf) Download (284.12KB)

Request a COA

Request a COA