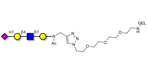
Sialylated tetraose type 2 grafted on gel for affinity chromatography (Linker-GEL A)

Product code: GLY082-GEL-A

Glycan structure: Neu5Acα2-3Galβ1-4GlcNAcβ1-3Gal-NAc-CH2-(1.4-Tz)-(CH2)2-EG3-NH-Gel

1mL of product in 20% ethanol aqueous solution stored in a 2mL syringe 

Laboratory reagent for research and development only. Not for human or animal use.

specs_GLY082_GEL_A.pdf (specs_GLY082_GEL_A.pdf) Download (101.55KB)

MSDS_GLY082_GEL_A.pdf (MSDS_GLY082_GEL_A.pdf) Download (284.42KB)

Request a COA

Request a COA