Blood group H antigen tetraose type 2 with cyclic di-thiol (Linker-LIPO A)

Product code: GLY032-2-LIPO-A

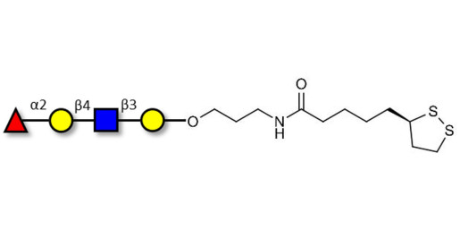
Glycan structure: Fucα1-2Galβ1-4GlcNAcβ1-3Gal-O-(CH2)3-NH-Lipoic

This product is also available on request with a cleavable linker. For more information, send us a message HERE

Chemical formula: C37 H64 N2 O21 S2

Molecular weight: 937,04

Laboratory reagent for research and development only. Not for human or animal use.

specs_GLY032_2_LIPO_A.pdf (specs_GLY032_2_LIPO_A.pdf) Download (102.81KB)

MSDS_GLY032_2_LIPO_A.pdf (MSDS_GLY032_2_LIPO_A.pdf) Download (284.79KB)

Request a COA

Request a COA