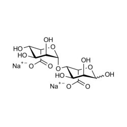
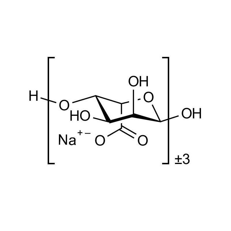
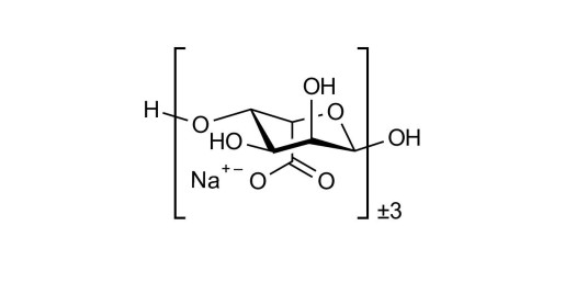
Guluronate oligosaccharides Average DP3

Product code: ALG330

Glycan structure: [GulAα1-4]±3

ELICITYL also offers Guluronate and Mannuronate oligosaccharides with varying degrees of polymerization (DP) HERE

Laboratory reagent for research and development only. Not for human or animal use.

specs_ALG330.pdf (specs_ALG330.pdf) Download (101KB)

MSDS_ALG330.pdf (MSDS_ALG330.pdf) Download (283.47KB)

Request a COA

Request a COA