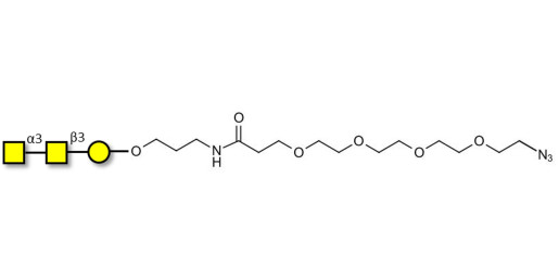
Forssman antigen triose with terminal azide (Linker-N3 A)

Product code: GLY133-N3-A

Glycan structure: GalNAcα1-3GalNAcβ1-3Gal-O-(CH2)3-NHCO-(CH2)2-EG4-N3

This product is also available on request with a cleavable linker. For more information, send us a message HERE

Chemical formula: C36 H64 N6 O21

Molecular weight: 916,92

Laboratory reagent for research and development only. Not for human or animal use.

specs_GLY133_N3_A.pdf (specs_GLY133_N3_A.pdf) Download (102.55KB)

MSDS_GLY133_N3_A.pdf (MSDS_GLY133_N3_A.pdf) Download (284.59KB)

Request a COA

Request a COA