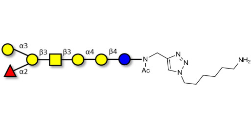
Globo-B heptaose with free terminal amine (Linker-NH2 D)

Product code: GLY125-NH2-D

Glycan structure: Galα1-3(Fucα1-2)Galβ1-3GalNAcβ1-3Galα1-4Galβ1-4Glc-NAc-CH2-(1.4-Tz)-(CH2)6-NH2

This product is also available on request with a cleavable linker. For more information, send us a message HERE

Chemical formula: C55 H94 N6 O35

Molecular weight: 1399,36

Laboratory reagent for research and development only. Not for human or animal use.

specs_GLY125_NH2_D.pdf (specs_GLY125_NH2_D.pdf) Download (102.11KB)

MSDS_GLY125_NH2_D.pdf (MSDS_GLY125_NH2_D.pdf) Download (284.59KB)

Request a COA

Request a COA