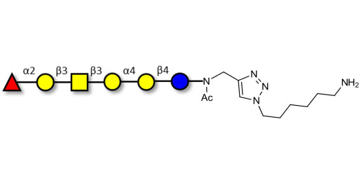
Globo-H hexaose / Stage Specific Embryonic Antigen 3b (SSEA-3b) with free terminal amine (Linker-NH2 D)

Product code: GLY123-NH2-D

Glycan structure: Fucα1-2Galβ1-3GalNAcβ1-3Galα1-4Galβ1-4Glc-NAc-CH2-(1.4-Tz)-(CH2)6-NH2

This product is also available on request with a cleavable linker. For more information, send us a message HERE

Chemical formula: C49 H84 N6 O30

Molecular weight: 1237,22

Laboratory reagent for research and development only. Not for human or animal use.

specs_GLY123_NH2_D.pdf (specs_GLY123_NH2_D.pdf) Download (103.06KB)

MSDS_GLY123_NH2_D.pdf (MSDS_GLY123_NH2_D.pdf) Download (285.19KB)

Request a COA

Request a COA