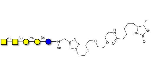
Forssman antigen pentaose linked to desthiobiotin (Linker-DBT-A)

Product code: GLY132-DBT-A

Glycan structure: GalNAcα1-3GalNAcβ1-3Galα1-4Galβ1-4Glc-NAc-CH2-(1.4-Tz)-(CH2)2-EG3-NH-Desthiobiotin

This product is also available on request with a cleavable linker. For more information, send us a message HERE

Chemical formula: C57 H97 N9 O31

Molecular weight: 1404,42

Laboratory reagent for research and development only. Not for human or animal use.

specs_GLY132_DBT_A.pdf (specs_GLY132_DBT_A.pdf) Download (102.15KB)

MSDS_GLY132_DBT_A.pdf (MSDS_GLY132_DBT_A.pdf) Download (284KB)

Request a COA

Request a COA