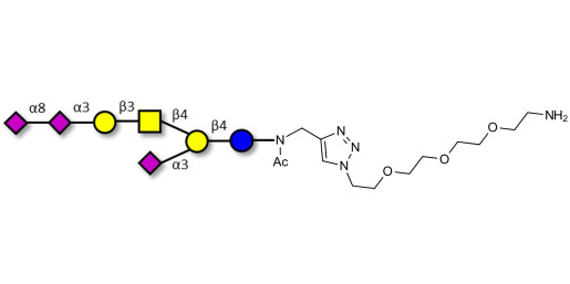
GT1a Ganglioside oligosaccharide with free terminal amine (Linker-NH2 B)

Product code: GLY100-NH2-B

Glycan structure: Neu5Acα2-8Neu5Acα2-3Galβ1-3GalNAcβ1-4(Neu5Acα2-3)Galβ1-4Glc-NAc-CH2-(1.4-Tz)-(CH2)2-EG3-NH2

This product is also available on request with a cleavable linker. For more information, send us a message HERE

Chemical formula: C72 H116 N9 O48 Na3

Molecular weight: 1944,7

Laboratory reagent for research and development only. Not for human or animal use.

specs_GLY100_NH2_B.pdf (specs_GLY100_NH2_B.pdf) Download (102.12KB)

MSDS_GLY100_NH2_B.pdf (MSDS_GLY100_NH2_B.pdf) Download (284.69KB)

Request a COA

Request a COA