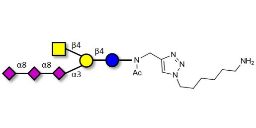
GT2 Ganglioside oligosaccharide with free terminal amine (Linker-NH2 D)

Product code: GLY095-NH2-D

Glycan structure: GalNAcβ1-4(Neu5Acα2-8Neu5Acα2-8Neu5Acα2-3)Galβ1-4Glc-NAc-CH2-(1.4-Tz)-(CH2)6-NH2

This product is also available on request with a cleavable linker. For more information, send us a message HERE

Chemical formula: C64 H102 N9 O40 Na3

Molecular weight: 1706,51

Laboratory reagent for research and development only. Not for human or animal use.

specs_GLY095_NH2_D.pdf (specs_GLY095_NH2_D.pdf) Download (102.97KB)

MSDS_GLY095_NH2_D.pdf (MSDS_GLY095_NH2_D.pdf) Download (284.68KB)

Request a COA

Request a COA