3'-Sialyllactose (3'-SL) / GM3 Ganglioside oligosaccharide with DBCO (Linker-DBCO A)

Product code: GLY090-DBCO-A

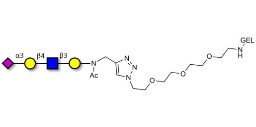
Glycan structure: Neu5Acα2-3Galβ1-4Glc-O-(CH2)3-NH-DBCO

This product is also available on request with a cleavable linker. For more information, send us a message HERE

Chemical formula: C45 H58 N3 O21 Na1

Molecular weight: 999,94

Synonyms:3'SL; N-Acetylneuraminoyllactose; (2, 3')-a-Sialyllactose; 3'-a-Sialyllactose; a-Neu5Ac-(2-3)-/3-D. Gal-(1-4)-D-Glc; 3'-N-Acetylneuraminyl-D-lactose

Laboratory reagent for research and development only. Not for human or animal use.

specs_GLY090_DBCO_A.pdf (specs_GLY090_DBCO_A.pdf) Download (102.47KB)

MSDS_GLY090_DBCO_A.pdf (MSDS_GLY090_DBCO_A.pdf) Download (284.98KB)

Request a COA

Request a COA