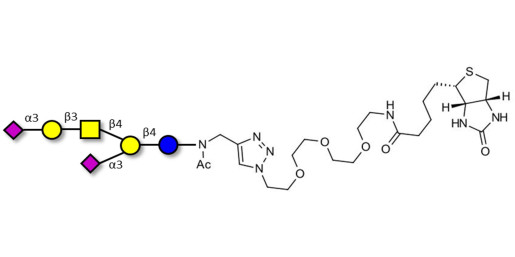
GD1a Ganglioside oligosaccharide linked to biotin (Linker-BT A)

Product code: GLY098-BT-A

Glycan structure: Neu5Acα2-3Galβ1-3GalNAcβ1-4(Neu5Acα2-3)Galβ1-4Glc-NAc-CH2-(1.4-Tz)-(CH2)2-EG3-NH-Biotin

This product is also available on request with a cleavable linker. For more information, send us a message HERE

Chemical formula: C71 H114 N10 O42 S1 Na2

Molecular weight: 1857,76

Synonyms:GLY098-NAc-sp3-Bt

Laboratory reagent for research and development only. Not for human or animal use.

specs_GLY098_BT_A.pdf (specs_GLY098_BT_A.pdf) Download (102.63KB)

MSDS_GLY098_BT_A.pdf (MSDS_GLY098_BT_A.pdf) Download (284.01KB)

Request a COA

Request a COA