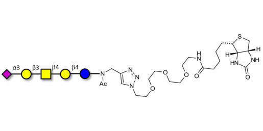
GM1b Ganglioside oligosaccharide linked to biotin (Linker-BT A)

Product code: GLY097-BT-A

Glycan structure: Neu5Acα2-3Galβ1-3GalNAcβ1-4Galβ1-4Glc-NAc-CH2-(1.4-Tz)-(CH2)2-EG3-NH-Biotin

This product is also available on request with a cleavable linker. For more information, send us a message HERE

Chemical formula: C60 H98 N9 O34 S1 Na1

Molecular weight: 1544,53

Laboratory reagent for research and development only. Not for human or animal use.

specs_GLY097_BT_A.pdf (specs_GLY097_BT_A.pdf) Download (102.37KB)

MSDS_GLY097_BT_A.pdf (MSDS_GLY097_BT_A.pdf) Download (284.01KB)

Request a COA

Request a COA