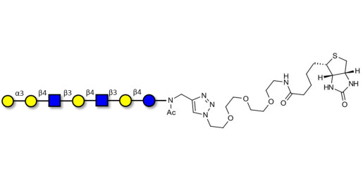
Galili antigen heptaose linked to biotin (Linker-BT A)

Product code: GLY077-BT-A

Glycan structure: Galα1-3(Galβ1-4GlcNAcβ1-3)2Galβ1-4Glc-NAc-CH2-(1.4-Tz)-(CH2)2-EG3-NH-Biotin

This product is also available on request with a cleavable linker. For more information, send us a message HERE

Chemical formula: C69 H115 N9 O41 S1

Molecular weight: 1758,77

Laboratory reagent for research and development only. Not for human or animal use.

specs_GLY077_BT_A.pdf (specs_GLY077_BT_A.pdf) Download (101.35KB)

MSDS_GLY077_BT_A.pdf (MSDS_GLY077_BT_A.pdf) Download (283.92KB)

Request a COA

Request a COA