Galacto-N-neopentaose linked to desthiobiotin (Linker-DBT-A)

Product code: GLY024-DBT-A

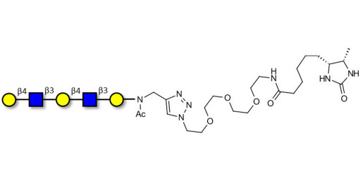
Glycan structure: Galβ1-4GlcNAcβ1-3Galβ1-4GlcNAcβ1-3Gal-NAc-CH2-(1.4-Tz)-(CH2)2-EG3-NH-Desthiobiotin

This product is also available on request with a cleavable linker. For more information, send us a message HERE

Chemical formula: C57 H97 N9 O31

Molecular weight: 1404,42

Synonyms:Di LAcNac Gal

Laboratory reagent for research and development only. Not for human or animal use.

specs_GLY024_DBT_A.pdf (specs_GLY024_DBT_A.pdf) Download (101.85KB)

MSDS_GLY024_DBT_A.pdf (MSDS_GLY024_DBT_A.pdf) Download (284KB)

Request a COA

Request a COA