If you can't find your product, send us a message HERE
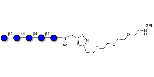
Product code: GLU303-GEL-A
Laboratory reagent for research and development only. Not for human or animal use.
As an end of year promotion, get €100 off orders over €800 (excluding tax and shipping fees) until December 31, 2025.
Stock up on everything you need for a strong start in 2026!
Use promo code ELICITYL100 on your purchase order or at checkout.
This discount cannot be combined with other offers or promotions and is limited to one use per company or research unit.