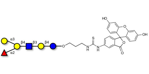
Blood group B antigen hexaose type 2 linked to fluorescein (Linker-FLUO A)
  • Blood group B antigen hexaose type 2 linked to fluorescein (Linker-FLUO A)

Blood group B antigen hexaose type 2 linked to fluorescein (Linker-FLUO A)

Product code: GLY040-2-FLUO-A

Glycan structure: Galα1-3(Fucα1-2)Galβ1-4GlcNAcβ1-3Galβ1-4Glc-O-(CH2)3-NH-CS-NH-Fluorescein

This product is also available on request with a cleavable linker. For more information, send us a message HERE

Chemical formula: C62 H83 N3 O35 S1

Molecular weight: 1462,39

Laboratory reagent for research and development only. Not for human or animal use.

specs_GLY040_2_FLUO_A.pdf (specs_GLY040_2_FLUO_A.pdf) Download (102.93KB)

MSDS_GLY040_2_FLUO_A.pdf (MSDS_GLY040_2_FLUO_A.pdf) Download (284.09KB)

Request a COA

Request a COA