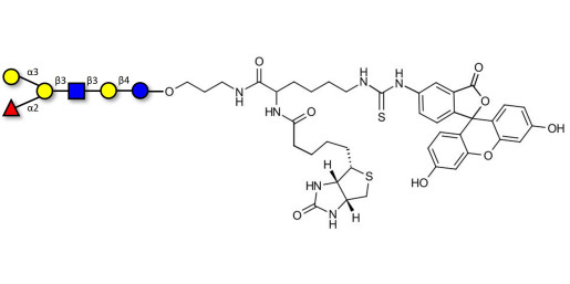
Blood group B antigen hexaose type 1 linked to biotin and fluorescein (Linker-BT-FLUO A)

Product code: GLY040-1-BT-FLUO-A

Glycan structure: Galα1-3(Fucα1-2)Galβ1-3GlcNAcβ1-3Galβ1-4Glc-O-(CH2)3-NHCO-CH(NHCO-Biotin)-(CH2)4-NH-CS-NH-FITC

This product is also available on request with a cleavable linker. For more information, send us a message HERE

Chemical formula: C78 H109 N7 O38 S2

Molecular weight: 1816,86

Laboratory reagent for research and development only. Not for human or animal use.

specs_GLY040_1_BT_FLUO_A.pdf (specs_GLY040_1_BT_FLUO_A.pdf) Download (103.11KB)

MSDS_GLY040_1_BT_FLUO_A.pdf (MSDS_GLY040_1_BT_FLUO_A.pdf) Download (284.26KB)

Request a COA

Request a COA