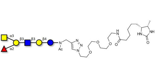
Blood group A antigen hexaose type 1 linked to desthiobiotin (Linker-DBT-A)

Product code: GLY037-1-DBT-A

Glycan structure: GalNAcα1-3(Fucα1-2)Galβ1-3GlcNAcβ1-3Galβ1-4Glc-NAc-CH2-(1.4-Tz)-(CH2)2-EG3-NH-Desthiobiotin

This product is also available on request with a cleavable linker. For more information, send us a message HERE

Chemical formula: C63 H107 N9 O35

Molecular weight: 1550,57

Laboratory reagent for research and development only. Not for human or animal use.

specs_GLY037_1_DBT_A.pdf (specs_GLY037_1_DBT_A.pdf) Download (103KB)

MSDS_GLY037_1_DBT_A.pdf (MSDS_GLY037_1_DBT_A.pdf) Download (284.12KB)

Request a COA

Request a COA