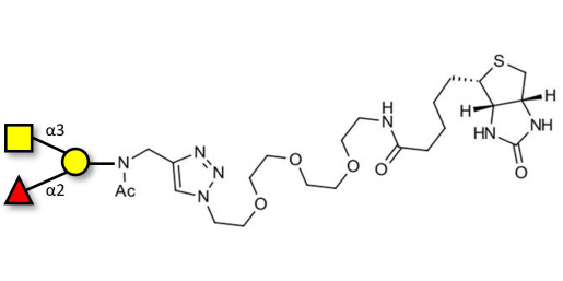
Blood group A antigen triose linked to biotin (Linker-BT A)

Product code: GLY034-BT-A

Glycan structure: GalNAcα1-3(Fucα1-2)Gal-NAc-CH2-(1.4-Tz)-(CH2)2-EG3-NH-Biotin

This product is also available on request with a cleavable linker. For more information, send us a message HERE

Chemical formula: C43 H72 N8 O20 S1

Molecular weight: 1053,15

CAS N°: 870891-83-1

Laboratory reagent for research and development only. Not for human or animal use.

specs_GLY034_BT_A.pdf (specs_GLY034_BT_A.pdf) Download (101.73KB)

MSDS_GLY034_BT_A.pdf (MSDS_GLY034_BT_A.pdf) Download (284.15KB)

Request a COA

Request a COA