Blood group A antigen pentaose type 2 grafted on gel for affinity chromatography (Linker-GEL A)
  • Blood group A antigen pentaose type 2 grafted on gel for affinity chromatography (Linker-GEL A)

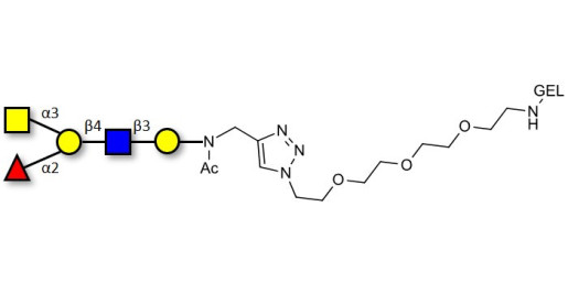
Blood group A antigen pentaose type 2 grafted on gel for affinity chromatography (Linker-GEL A)

Product code: GLY036-2-GEL-A

Glycan structure: GalNAcα1-3(Fucα1-2)Galβ1-4GlcNAcβ1-3Gal-NAc-CH2-(1.4-Tz)-(CH2)2-EG3-NH-Gel

1mL of product in 20% ethanol aqueous solution stored in a 2mL syringe 

Laboratory reagent for research and development only. Not for human or animal use.

specs_GLY036_2_GEL_A.pdf (specs_GLY036_2_GEL_A.pdf) Download (102.16KB)

MSDS_GLY036_2_GEL_A.pdf (MSDS_GLY036_2_GEL_A.pdf) Download (284.56KB)

Request a COA

Request a COA