If you can't find your product, send us a message HERE
- Menu
-
Carbohydrates
- Glycoconjugates
- Analytical References
- Lectins
- Antibodies
- Enzymes
- Services
- Innovations
- About us
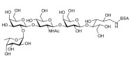
Chitin oligosaccharides grafted on BSA
There are 6 products.
Active filters
