Man7D1 2AB-Labelled

Product code: NGL005-2AB

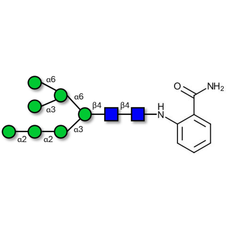
Glycan structure: Manα1-2Manα1-2-Manα1-3[Manα1-6(Manα1-3)Manα1-6]Manβ1-4GlcNacβ1-4GlcNac-2AB

Our N-glycans are produced by chemical synthesis, ensuring high purity and precise structural characterization. They are available with a wide range of functionalizations (Biotin, Fluorescein, ...) and can be supplied in large quantities on request. For more information, send us a message HERE

Chemical formula: C65 H106 N4 O46

Molecular weight: 1679,54

Synonyms:M7D1 ; M7 ; Oligomannose-7 ; Mannoheptaose-di-(N-acetyl-D-glucosamine) ; Man-7-N-linked oligosaccharide ; Man7(GlcNac)2

Laboratory reagent for research and development only. Not for human or animal use.

specs_NGL_005_2AB_90.jpg.pdf (specs_NGL_005_2AB_90.jpg.pdf) Download (101.85KB)

MSDS_NGL_005_2AB_90.jpg.pdf (MSDS_NGL_005_2AB_90.jpg.pdf) Download (283.55KB)

Request a COA

Request a COA