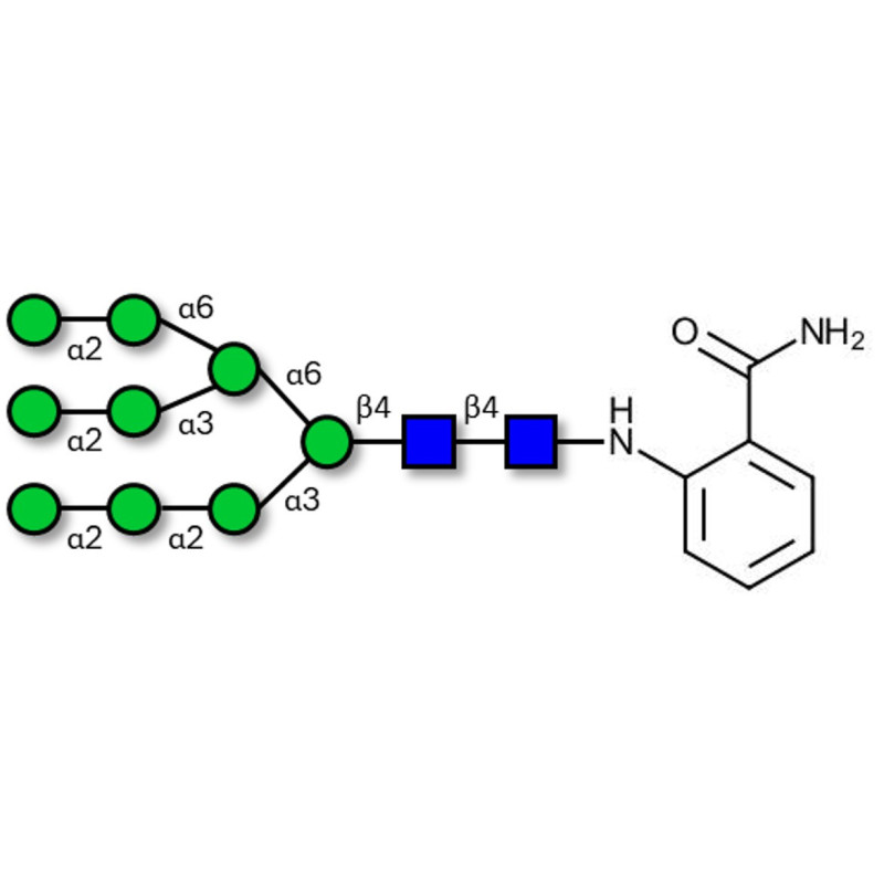
Man9 2AB-Labelled

Product code: NGL001-2AB

Glycan structure: Manα1-2Manα1-2-Manα1-3[Manα1-2Manα1-6(Manα1-2Manα1-3)Manα1-6]Manβ1-4GlcNacβ1-4GlcNac-2AB

Our N-glycans are produced by chemical synthesis, ensuring high purity and precise structural characterization. They are available with a wide range of functionalizations (Biotin, Fluorescein, ...) and can be supplied in large quantities on request. For more information, send us a message HERE

Chemical formula: C77 H126 N4 O56

Molecular weight: 2003,82

Synonyms:M9 ; Oligomannose-9 ; Mannononaose-di-(N-acetyl-D-glucosamine) ; Man-9 N-linked oligosaccharide ; Man9(GlcNac)2

Laboratory reagent for research and development only. Not for human or animal use.

specs_NGL_001_2AB_90.jpg.pdf (specs_NGL_001_2AB_90.jpg.pdf) Download (101.66KB)

MSDS_NGL_001_2AB_90.jpg.pdf (MSDS_NGL_001_2AB_90.jpg.pdf) Download (283.5KB)

Request a COA

Request a COA